2
More than just an online double integral solver WolframAlpha is a great tool for calculating indefinite and definite double integrals Compute volumes under surfaces, surface area and other types of twodimensional integrals using WolframAlpha's double integral calculatorHow to find R?' and find homework help for other Math questions at eNotes
Double integral e^-(x^2+y^2)da
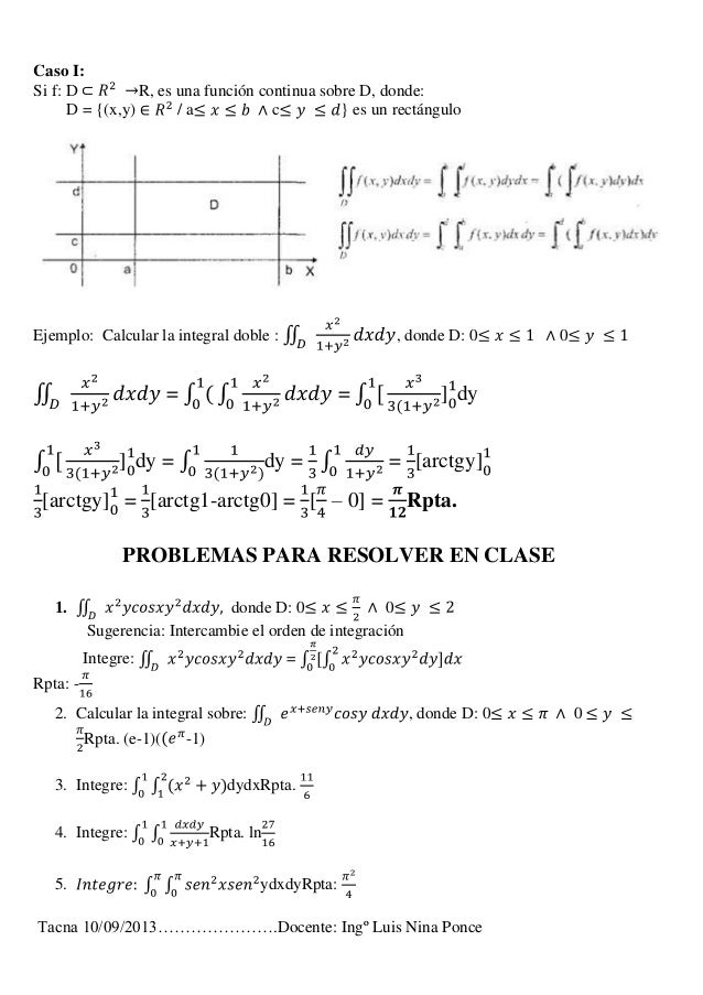
Double integral e^-(x^2+y^2)da-Dada una función de dos variables, f (x, y), se puede encontrar el volumen entre la gráfica y una región rectangular del plano xy al tomar la integral de una integral, esta es la función de y f (x , y) dx ∫ x 1 x 2 ¿ dy ¿ ¿ ∫ y 1 y 2 ¿ A esta integral se le conoce como integral doble f (x , y) dy ∫ y 1 y 2 ¿ dx ¿ ¿ ∫ x 1 x 2INTEGRAL LINKS Basic Integral Problems https//youtube/gZKoyR6ZcgIntegration by parts ∫ log x/x^2 dx https//youtube/SVGDrup8EyMINTEGRATE ∫ 1/(√9x
Funcion De Directividad De Una Matriz Para Recepcion General Plano Esferico Y Ondas De Sonido Las Ondas De Sonido B Area Rectangular Aplicando La Ecuacion 6 En El Rectangulo Fig 8
D y 2 = ax;La integral doble de una función no negativa en dos variables se interpreta como el volumen bajo la superficie z = f(x,y) y sobre la región R del plano xy Cálculo de integrales dobles La integral doble de f sobre la región R, está dada por el valor común de las dos integrales iteradas Donde a, b, c y d son los límites de integración174 Integral doble e integral triple Figura52Si f es continua y positiva sobre R, la suma de Riemann aproxima el volumen del sólido Diámetro de la mallaEl diámetro de cada celda Ri es la máxima distancia entre todas las distancias entre cualesquiera dos puntos en Ri y se denota jjRi jj El diámetro de la malla MR es jjMRjj˘Supi {jjRi jj}y n˘C(M)
Http//cursosgratis316blogspotpe/https//wwwfacebookcom/profilephp?id=Integrales dobles con funciones exponencialeshallar la integral dobGet stepbystep solutions from expert tutors as fast as 1530 minutesCambio de variable Aplicaciones de la Integral Doble EJEMPLOS RESUELTOS EN CLASE Ejemplo Hallar el volumen del s´olido arriba del cono z = p x 2 y 2 y debajo de la esfera x 2 y 2 z 2 = 1 Soluci´on 4 R 1 / √ 2 0 R √ 1 / 2x 2 0 p 1x 2y 2p x 2 y 2 dxdy = 2 π 9 INTEGRAL DOBLE
Double integral e^-(x^2+y^2)daのギャラリー
各画像をクリックすると、ダウンロードまたは拡大表示できます
![]() | ![]() | |
「Double integral e^-(x^2+y^2)da」の画像ギャラリー、詳細は各画像をクリックしてください。
![]() | ![]() | |
![]() | ||
![]() | ||
「Double integral e^-(x^2+y^2)da」の画像ギャラリー、詳細は各画像をクリックしてください。
![]() | ![]() | |
![]() | ||
「Double integral e^-(x^2+y^2)da」の画像ギャラリー、詳細は各画像をクリックしてください。
![]() | ![]() | |
![]() | ![]() | |
![]() | ![]() | |
「Double integral e^-(x^2+y^2)da」の画像ギャラリー、詳細は各画像をクリックしてください。
![]() | ![]() | |
![]() | ![]() | ![]() |
![]() | ||
「Double integral e^-(x^2+y^2)da」の画像ギャラリー、詳細は各画像をクリックしてください。
![]() | ||
![]() | ![]() | |
![]() | ||
「Double integral e^-(x^2+y^2)da」の画像ギャラリー、詳細は各画像をクリックしてください。
![]() | ||
![]() | ||
「Double integral e^-(x^2+y^2)da」の画像ギャラリー、詳細は各画像をクリックしてください。
![]() | ![]() | |
「Double integral e^-(x^2+y^2)da」の画像ギャラリー、詳細は各画像をクリックしてください。
![]() | ![]() | |
![]() | ||
![]() | ![]() | |
「Double integral e^-(x^2+y^2)da」の画像ギャラリー、詳細は各画像をクリックしてください。
![]() | ||
![]() | ![]() | |
![]() | ![]() | ![]() |
「Double integral e^-(x^2+y^2)da」の画像ギャラリー、詳細は各画像をクリックしてください。
![]() | ![]() | |
![]() | ||
![]() | ![]() | |
「Double integral e^-(x^2+y^2)da」の画像ギャラリー、詳細は各画像をクリックしてください。
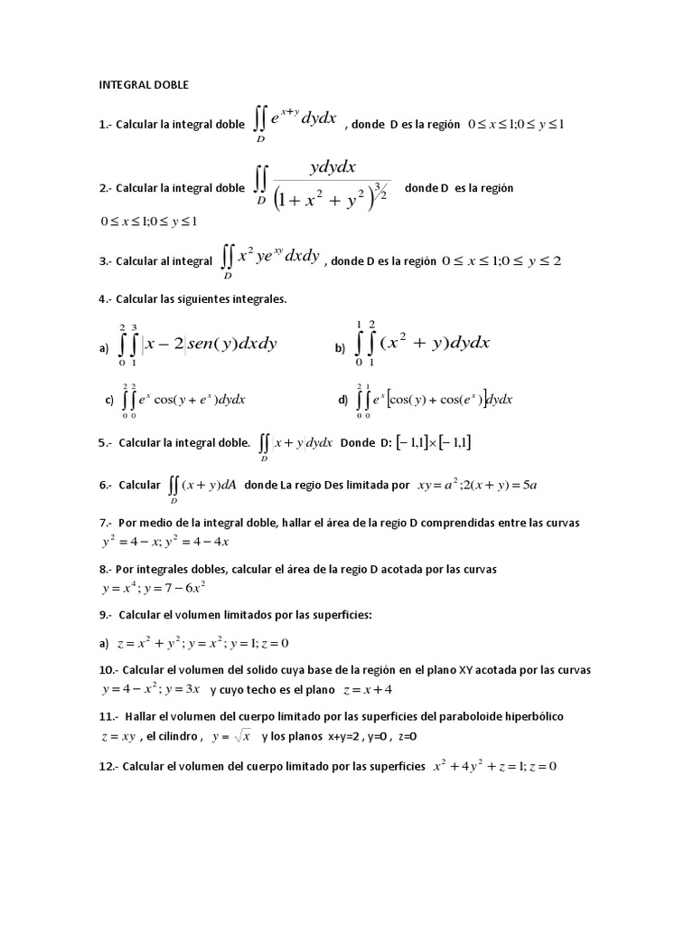
Esta se deja como ejercicio 52 Problema ZZZ Calcular x2 dxdydz si D es la región acotada por y 2 z 2 = 4ax;Get stepbystep solutions from expert tutors as fast as 1530 minutes
Incoming Term: integral doble de e^(x^2+y^2), double integral e^-(x^2+y^2)da,















































0 件のコメント:
コメントを投稿